![[데위 News] 뽑을 때마다 확률 업? 하스스톤 카드 뽑기의 비밀](https://cgeimage.commutil.kr/phpwas/restmb_allidxmake.php?pp=002&idx=3&simg=2016011918015185509_20160119184332dgame_1.jpg&nmt=27)
그럼에도 "나는 전설 카드 운이 없어"라며 눈물을 흘리고 계신 분들이 있는데요. 여기 흥미로운 가설이 잇습니다. 바로 카드팩을 개봉할 때마다 '전설 카드 확률'이 높아진다는 것이죠.

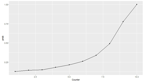
Briel 자료에 따르면 24번째 팩을 개봉하기 이전에 5%에 머물렀던 전설카드 확률은 25번째부터 급격한 상승곡선을 그립니다. 이를 토대로 Briel은 "24팩 이전에 전설 카드가 등장할 경우 카운트는 초기화되지만, 이후에도 전설 카드를 획득하지 못할 경우에는 확률이 매우 높아진다"고 결론지었습니다.

Briel은 각 구간별로 높은 등급의 카드를 획득할 확률이 다르다는 것도 공개했는데요, 영웅 카드는 10팩 째에서 최대 확률을, 황금 일반 카드는 20팩에서 최대 확률을, 그리고 황금 전설 카드는 30팩에서 최대 확률을 보여준다고 합니다.
즉, 전설 카드를 40팩까지 한 장도 얻지 못했을 경우, 40번째 팩에서 무조건 전설 카드가 등장한다는 것, 10, 20, 30번째 팩마다 특정 등급 카드의 확률이 가장 높아지는 구간이 있다는 것이 그의 조사를 통해 공개된 것이죠.
![[데위 News] 뽑을 때마다 확률 업? 하스스톤 카드 뽑기의 비밀](https://cgeimage.commutil.kr/phpwas/restmb_allidxmake.php?pp=002&idx=3&simg=2016011918015185509_20160119184332_4.jpg&nmt=27)
위의 그래프는 블리자드 엔터테인먼트의 WoW와 디아블로3에서 적용된 확률 시스템과 맥을 같이합니다. 두 게임에서 특정 요소의 확률은 'X번 까지 Y가 되지 않았을 때, Z번 째 시도는 무조건 Y가 된다'라는 매커니즘이 적용되어 있기 때문이죠. RPG의 시스템이 카드팩 뽑기에도 적용되어 있는 셈이니, 굉장히 흥미롭네요.
이소라 기자 (sora@dailyesports.com)




















